SPEDIZIONE GRATUITA CON UNA SPESA MINIMA DI 20€
La storia mitologica del sangue di drago, una resina prodotta da diverse piante, attraversa millenni. Dall’utilizzo come tintura per i tessuti, all’uso nei riti magici per poi arrivare ad oggi, attraverso la ricerca scientifica a scoprirne le numerose proprietà benefiche.
Le piante da cui si estrae la resina rossa, chiamata Sangue di drago, appartengono a generi diversi: Croton, Dracaena, Calamus, Pterocarpus. Le più utilizzate appartengono al genere Dracaena.

 Il genere Dracaena comprende circa 120 alberi e arbusti estremamente diversi tra loro. La maggior parte delle specie è endemica del continente africano, principalmente delle zone tropicali e subtropicali. È presente anche in Macaronesia, Arabia, Socrota, Madagascar, Asia sud-orientale, Australia, e una specie (Dracaena americana) endemica del Messico, Colombia e America Centrale.
La Dracaena Draco è endemica delle Isole Canarie. Sono piante arborescenti sempreverdi di origine sub-tropicale che riescono a raggiungere i 20 metri di altezza. Sono caratterizzate da una crescita lenta, necessitano di circa 10 anni per raggiungere l’altezza di un metro. I giovani esemplari presentano un tronco singolo che resta tale per 8-11 anni, fin quando la pianta non raggiunge l’età riproduttiva e comincia la fioritura. La fioritura è seguita dalla formazione di grappoli di gemme terminali, è a questo punto che la pianta comincia a ramificarsi. Si forma una prima biforcazione e ogni ramo cresce per circa 10-15 anni per poi biforcarsi a sua volta a ogni fioritura, che avviene con cadenza decennale, fino a ottenere la caratteristica forma a ombrello. [1]
Il tronco non mostra anelli di crescita, pertanto l’età dell’albero può essere stimata solo dal numero di punti di ramificazione prima della chioma. Sono in grado di raggiungere centinaia di anni: a Tenerife si trova un esemplare millenario chiamato “Drago millenario”. [2]
Dracena cinnabari è l’unica specie del genere Dracaena che forma fitti boschi, esempio è quello visibile nella foresta di Firmin. Le restanti specie sono caratterizzate dalla presenza di esemplari solitari. [3]
Gli indigeni di Socotra avevano una vera e propria venerazione per la Dracena cinnabari, dovuta alle numerose proprietà della resina. Essi, infatti, la utilizzavano come medicamento, come colorante e come elemento per riti magici. Il Sangue di Drago come colorante veniva utilizzato sia come tintura per le stoffe che come elemento pittorico per realizzare pitture rupestri. Largo uso veniva fatto anche nei riti magici, in quanto si riteneva che la resina fosse in grado di scacciare i Djinn, spiriti maligni, presenti nella religione musulmana, creati da Dio dal fuoco. Si tratta di esseri incorporei in grado di impossessarsi del corpo degli uomini causando paralisi e pazzia. Gli indigeni di Socotra effettuavano riti magici per scacciare i Djinn con danze accompagnate dall’uso di sangue di drago come incenso, il cui fumo era ritenuto in grado di allontanare tali demoni. Tuttavia, l’uso più importante della resina era quello medicamentoso. Somministrato per via orale per trattare la dissenteria e come antipiretico. Per via topica allo scopo di facilitare la guarigione di ferite, ulcere e bruciature, come antiemorragico, come antiemorroidario e in caso di fratture. [4]
Mentre nelle isole canarie, nel corso delle spedizioni europee nel medioevo gli esploratori vennero a conoscenza dell’uso del sangue di drago ottenuto dalla specie endemica Dracaena Draco da parte degli indigeni, i guanci. I guanci utilizzavano il sangue di drago per molteplici scopi: colorante per le pelli e per pitture rupestri, come elemento in riti magici, come medicamento nonché per l’imbalsamazione dei defunti. L’imbalsamazione era una pratica molto importante nel culto religioso dei guanci, le mummie venivano riposte in veri e propri sepolcri che venivano visitati dai familiari. La mummificazione iniziava con la rimozione degli organi interni e il lavaggio del corpo. Successivamente veniva preparato un balsamo mescolando il sangue con grassi animali e altre erbe, che veniva cosparso su tutto il corpo, compreso l’interno, e fatto asciugare. L’operazione veniva ripetuta fin quando la carne del defunto non era completamente secca. Una volta pronto, il corpo veniva avvolto con pelli di capra e successivamente deposto nel sepolcro. [5]

 Il sangue di drago ottenuto dalla Dracaena Cinnabari è una resina che si estrae dal tronco e dai rami degli esemplari femmina, questa si accumula nelle cellule dello xilema, in particolare nel midollo vuoto del fusto e il periodo più adatto alla raccolta va da febbraio a marzo. L’estrazione avviene eseguendo delle incisioni sulla corteccia dalle quali sgorga la resina che a contatto con l’aria si ossida assumendo il caratteristico colore rosso. La formazione della resina aumenta in risposta a un danno meccanico, a una infestazione di insetti, di microrganismi o di funghi o come reazione alla presenza di sostanze chimiche come l’acido ossalico. [6]
Esistono differenti qualità di sangue di drago ottenute dalla Dracaena cinnabari: la resina di qualità superiore è quella raccolta nel periodo febbraio-marzo e, una volta secca, diviene cristallina, di consistenza dura e dal caratteristico rosso brillante; la resina di qualità inferiore differisce dalla prima per il periodo di raccolta, per la presenza di pezzetti di corteccia al suo interno e per il colore rosso scuro. La resina che si estrae, invece, dalla specie Dracaena draco, ha due sedi di origine nella pianta: lo xilema e la corteccia. [7]
A differenza di Dracaena cinnabari, la resina non viene estratta solo dal fusto, ma anche dalla parte prossimale delle foglie. L’estrazione viene eseguita in seguito all’incisione del fusto o delle foglie, dalla quale la resina essuda. Morfologicamente la resina assume la forma di goccioline di colore rosso ottenuto a causa di processi ossidativi che si sviluppano tra la resina e l’aria. L’inoculazione di patogeni quali funghi stimolano la formazione e l’accumulo della resina. [8] [9]
Questo dimostra che la secrezione del sangue di drago ha funzione difensiva nella pianta, che si verifica in risposta sia ad attacchi da parte di patogeni sia a danni meccanici.
I costituenti chimici del sangue di drago sono rappresentati da flavonoidi, saponine, lignani, steroli e terpeni.
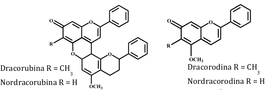
Sebbene una prima indagine chimica sia stata compiuta all’inizio del secolo XVIII [11], soltanto a partire dalla prima metà del secolo XX lo studio dei componenti chimici della resina è stato approfondito. Nel 1943 è stato isolato un primo pigmento, la dracorodina, e successivamente, nel 1950, la dracorubina. [10]

Studi più recenti su questa resina, basati su più moderni e sofisticati metodi di separazione, hanno permesso di stabilire le strutture di una serie di nuovi composti contenuti in essa. Sono stati così isolati la nordracorodina e la nordracorubina, analoghi strutturali della dracorodina e della dracorubina privi del gruppo metilico in posizione 6 e i flavani, che possono essere considerati come i precursori dell’intera serie di composti flavanoidici contenuti nella resina. [11]
Insieme a questi sono stati isolati altri composti a struttura flavanoidica: la prodeossiantocianidina, e la benzodiossiepina. Sono stati isolati anche trimeri flavanoidici a struttura più complessa. [12]
Infine, dalla stessa resina sono state isolate diverse sostanze di natura terpenoidica, fra cui acidi diterpenici, alcuni triterpeni quali il 22-idrossiopanone, il dipterocarpolo, l’acido dammarenolico, l’acido e l’aldeide oleanonica, già noti come composti naturali, e, inoltre, lo pterocarpolo, un raro sesquiterpene già isolato da Pterocarpus santalinus e Pterocarpus macrocarpus. [13]
Numerosi sono gli effetti farmacologici mostrati dal sangue di drago, alcuni propri del fitocomplesso, altri legati all’attività dei singoli costituenti. Si sono rilevate attività comuni alle due resine (della Dracena cinnabari e della Dracaena draco) e attività riconducibili alla sola resina estratta da Dracena cinnabari.
Atttività antiossidante
I flavonoidi, e in particolare la classe dei flavanoli e degli omoisoflavonoidi, estratti dal sangue di drago ottenuto da Dracena cinnabari hanno confermato l’attività antiossidante secondo test in vitro. [14]
Attività antinfiammatoria
L’azione antinfiammatoria del sangue di drago è stata indagata in uno studio condotto in vivo su dei topi maschi ai quali è stata indotta un’infiammazione alla zampa sinistra tramite carragenina con il conseguente sviluppo di edema. I risultati hanno confermato l’attività antinfiammatoria del sangue di drago e ne giustificano l’uso tradizionale della popolazione yemenita come rimedio per patologie infiammatorie. [15]
Anche se tutt’oggi mancano prove scientifiche inequivocabili, si ritiene che l’attività antinfiammatoria del sangue di drago sia dovuta alla presenza di terpeni e steroidi di cui è ben nota l’attività antinfiammatoria. Altra giustificazione di tale attività deriva dalla capacità antiossidante del sangue di drago, in particolare come scavenger dei radicali nitrici che derivano da monossido di azoto, uno dei principali mediatori chimici del processo infiammatorio. [16]
Altri studi sono stati effettuati riguardo l’attività antimicrobica [17], attività citotossica e antitumorale [18], e attività antidiabetica [19].
 Viste le notevoli qualità di questa pianta abbiamo inserito l’estratto nel Tattoo balm dove svolge un’azione cicatrizzante e riepitelizzante sulla pelle appena tatuata e nella Psor cream date le sue proprietà antinfiammatorie.
Le proprietà antiossidanti sono state testate anche in un siero per il contorno occhi a cui stiamo lavorando e che sarà presto disponibile nello shop.
[2] Dominguez B. Tenerife, touriste guidebook. Ediciones AM, 2008
[10] Brockmann H., Junge H., Ber., 76 751 (1943). Robertson A., Whalley W. B., J. Chem. Soc., 1882 (1950)
[11]Cardillo G., Merlini L., Nasini G., Salvadori P., J. Chem. Soc., 3968 (1971)
[12] Camarda L., Merlini L., Nasini G., International Bioflavonoid Symposium, Monaco, 6-9 Settembre 1981
SPEDIZIONE GRATUITA CON UNA SPESA MINIMA DI 20€
